Newton meets AI
View Sequence overviewStudents will:
- use three activities to explore the relationship between acceleration, mass and force.
- use evidence from the activities to make a claim about how autonomous car manufacturers should modify their programming when there are many passengers.
Students will represent their understanding as they:
- explain the relationship between force, mass and acceleration.
- use argumentation to make a claim about how autonomous car manufacturers should modify their programming when there are many passengers.
In this lesson, assessment is formative.
Feedback might focus on:
- the relationship between force, mass and acceleration.
- the examples students use to illustrate Newton’s second law of motion.
- students’ ability to identify the need for lower speed limits near schools or for trucks in urban environments.
- construct arguments based on analysis of a variety of evidence to support conclusions or evaluate claims.
Whole class
Newton meets AI Resource PowerPoint
Video: STEMonstrations: Newton’s second law of motion (2:40)
Each group
Elastic strip or elastic bands looped together
Long smooth board with two nails placed 10 cm from one end, close to the sides of the board (see diagram under Activity 1: Move the car)
Physics cart or toy car with minimal friction
4 x 50 gm mass
Sticky/masking tape
Ruler
Stopwatch
Retractable tape measure
Each student
Individual student notebook
Newton’s second law Resource sheet
Lesson
Re-orient
(Slide 49) Discuss how an autonomous car has a faster reaction time and how this reduces the overall stopping distance of the car.
Pose the question: How closely should you follow an autonomous car?
Discuss how an autonomous car will react faster than a human driver to the same stimuli, and so a human driver would need to leave more distance between their car and an autonomous car in front. This would give the human more time to react if the autonomous car were to suddenly stop.
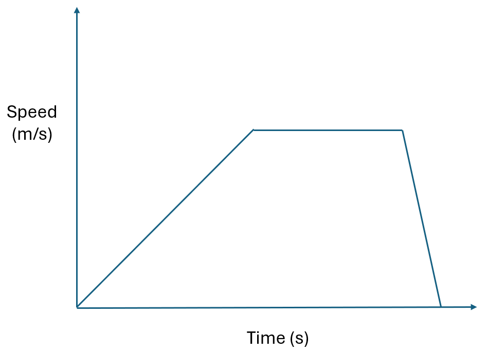
Pose the question: What other factors would be useful to notice about the driving conditions that would hint at a car’s stopping time (negative acceleration)?
(Slide 50) Discuss how bald tires, loose road surfaces and wet weather affect a car’s negative acceleration and cause the stopping time/distance to increase. Discuss which line on the graph would represent a car’s negative acceleration on a wet or dry road.

(Slide 51) Pose the question: What does this graph tell you about how the car is moving?
- How is the speed of the car changing at the start of the graph?
- The car’s speed starts at 0 m/s and increases over time. This means the car is accelerating.
- Does the speed of the car change in the middle of the graph? What is the car’s acceleration at this point?
- The car does not change its speed in the middle of the graph. There is no acceleration (a=0 m/s).
- What happens to the car’s speed at the end of the graph?
- The car slows down.
- How quickly does the car stop? How can you tell this from the graph?
- The car slows down quickly (high negative acceleration). We know this because of the steep slope of the graph.
The Inquire phase allows students to cycle progressively and with increasing complexity through the key science ideas related to the core concepts. Each Inquire cycle is divided into three teaching and learning routines that allow students to systematically build their knowledge and skills in science and incorporate this into their current understanding of the world.
When designing a teaching sequence, it is important to consider the knowledge and skills that students will need in the final Act phase. Consider what the students already know and identify the steps that need to be taken to reach the level required. How could you facilitate students’ understanding at each step? What investigations could be designed to build the skills at each step?
Read more about using the LIA FrameworkIdentifying and constructing questions is the creative driver of the inquiry process. It allows students to explore what they know and how they know it. During the Inquire phase of the LIA Framework, the Question routine allows for past activities to be reviewed and to set the scene for the investigation that students will undertake. The use of effective questioning techniques can influence students’ view and interpretation of upcoming content, open them to exploration and link to their current interests and science capital.
When designing a teaching sequence, it is important to spend some time considering the mindset of students at the start of each Inquire phase. What do you want students to be thinking about, what do they already know and what is the best way for them to approach the task? What might tap into their curiosity?
Read more about using the LIA FrameworkLoaded car
(Slide 52) Pose the question: Will a car’s acceleration (negative or positive) change if there are a lot of people in the car?
Discuss mass in terms of the number of people in a car—more people means that the car has more mass.
Pose the question again: Does the number of people in a car affect its acceleration?
The Inquire phase allows students to cycle progressively and with increasing complexity through the key science ideas related to the core concepts. Each Inquire cycle is divided into three teaching and learning routines that allow students to systematically build their knowledge and skills in science and incorporate this into their current understanding of the world.
When designing a teaching sequence, it is important to consider the knowledge and skills that students will need in the final Act phase. Consider what the students already know and identify the steps that need to be taken to reach the level required. How could you facilitate students’ understanding at each step? What investigations could be designed to build the skills at each step?
Read more about using the LIA FrameworkThe Investigate routine provides students with an opportunity to explore the key ideas of science, to plan and conduct an investigation, and to gather and record data. The investigations are designed to systematically develop content knowledge and skills through increasingly complex processes of structured inquiry, guided inquiry and open inquiry approaches. Students are encouraged to process data to identify trends and patterns and link them to the real-world context of the teaching sequence.
When designing a teaching sequence, consider the diagnostic assessment (Launch phase) that identified the alternative conceptions that students held. Are there activities that challenge these ideas and provide openings for discussion? What content knowledge and skills do students need to be able to complete the final (Act phase) task? How could you systematically build these through the investigation routines? Are there opportunities to build students’ understanding and skills in the science inquiry processes through the successive investigations?
Read more about using the LIA FrameworkNewton’s second law
✎ STUDENT NOTES: Record the question: Does the number of people in the car affect its acceleration?
(Slide 53) Discuss how students will do two activities to help them answer this question. Provide students with a copy of Newton’s second law Resource sheet, which outlines the following two activities.
Students use a slingshot to generate a constant force to move a toy car. Mass is added to the car and the measurements are repeated.
- Tie the length of elastic to the two nails on the board.
- Place the toy car in the centre of the board against the elastic.
- Pull the toy car and elastic towards the end of the board. Use the ruler to measure how far the elastic has stretched. Record this measurement.
- Release the car so that it rolls along the board. Use the stopwatch to measure how long it takes for the car to reach the end of the board. Record the time.
- Repeat steps 2-4 another two times with the car and elastic pulled back to the same starting mark.
- Use the tape to add a 50g mass on top of the car. Make sure the wheels of the car are not affected by the tape.
- Repeat steps 2-4 three times with the mass on the top of the car, using the same starting mark.
- Repeat steps 6-7 (the car now has 2 x 50g masses).
Students will time how long it takes for a retracting tape measure to fully retract, with and without a weight added to the end.
- Extend the tape measure to 2 metres and lock it into place.
- Tape a 50 g mass to the end of the tape measure.
- Release the lock and measure the time taken for the tape measure to fully retract. Record your measurements.
- Repeat steps 1-3 two further times. Determine the average time for the tape measure to retract.
- Repeat steps 1-4 for 100 g.
✎ STUDENT NOTES: Students complete Newton’s second law Resource sheet.
- What is the force we are using in this activity?
- How do you think the mass will make a difference?
- If a car takes more time to travel along the board, what does this mean about the way it is accelerating?
- More time to travel the same distance (from 0) means the acceleration is less/slower.
- How did doubling the mass on the car affect the acceleration of the car?
- Doubling the mass should almost halve the acceleration. This is an indication rather than a mathematical model as other factors are involved (i.e. the friction of the wheels).
- How did adding mass to the tape measure affect the way it retracted?
- The size of the force in the tape measure did not change. So how did the acceleration change when the mass was added?
Newton’s second law
$F=ma$

Newton’s first law states that an object in motion will remain in motion unless an unbalanced force acts on it. This will be covered in the next lesson.
Newton’s second law explains how an unbalanced force acting on an object will affect the acceleration of the object, and that the amount the object will accelerate (change speed) is dependent on the mass of the object.
$$ \text{Force} = \text{mass}\times\text{acceleration}$$
For example, kicking a heavy medicine ball will cause it to accelerate from 0 m/s to moving. This acceleration is much slower than if the same force were used to kick a basketball—the basketball will accelerate or change its speed much faster. This is illustrated in these activities, where constant forces are used to move different masses.
The different speeds represent the different accelerations that are achieved. This relationship is an indication of the relationship rather than a mathematical model.
Newton’s first law states that an object in motion will remain in motion unless an unbalanced force acts on it. This will be covered in the next lesson.
Newton’s second law explains how an unbalanced force acting on an object will affect the acceleration of the object, and that the amount the object will accelerate (change speed) is dependent on the mass of the object.
$$ \text{Force} = \text{mass}\times\text{acceleration}$$
For example, kicking a heavy medicine ball will cause it to accelerate from 0 m/s to moving. This acceleration is much slower than if the same force were used to kick a basketball—the basketball will accelerate or change its speed much faster. This is illustrated in these activities, where constant forces are used to move different masses.
The different speeds represent the different accelerations that are achieved. This relationship is an indication of the relationship rather than a mathematical model.
The Inquire phase allows students to cycle progressively and with increasing complexity through the key science ideas related to the core concepts. Each Inquire cycle is divided into three teaching and learning routines that allow students to systematically build their knowledge and skills in science and incorporate this into their current understanding of the world.
When designing a teaching sequence, it is important to consider the knowledge and skills that students will need in the final Act phase. Consider what the students already know and identify the steps that need to be taken to reach the level required. How could you facilitate students’ understanding at each step? What investigations could be designed to build the skills at each step?
Read more about using the LIA FrameworkFollowing an investigation, the Integrate routine provides time and space for data to be evaluated and insights to be synthesized. It reveals new insights, consolidates and refines representations, generalises context and broadens students’ perspectives. It allows student thinking to become visible and opens formative feedback opportunities. It may also lead to further questions being asked, allowing the Inquire phase to start again.
When designing a teaching sequence, consider the diagnostic assessment that was undertaken during the Launch phase. Consider if alternative conceptions could be used as a jumping off point to discussions. How could students represent their learning in a way that would support formative feedback opportunities? Could small summative assessment occur at different stages in the teaching sequence?
Read more about using the LIA FrameworkForce, mass, and acceleration
Discuss how the two activities explored the relationship between force, mass and acceleration.
(Slide 54) Discuss how the activities used a constant force. Encourage students to consider how the acceleration of both the car and the tape measure decreased when mass was increased. This means that as the mass increased, the movement was slow to start and acceleration (change in speed and direction) was less, with the same force.
- What was the force that moved the car?
- How did you make sure the force was the same in both cases?
- How did the car accelerate (change its speed) when the force was applied?
- How did adding the mass change the acceleration of the car?
- How did doubling the mass change the acceleration of the car?
- Doubling the mass reduced the speed from the slingshot and the time taken for the car to reach the end of the board.
- How did the end of the tape measure accelerate (change its speed) as it retracted?
- What provides the force for the tape measure to retract?
- The spring inside the tape measure.
- Was this force different for the two different masses?
- If the force did not change, what did change when you increased the mass?
- The acceleration decreased when more mass was added.
Explain how Sir Isaac Newton called this his second law of motion. Discuss how the equation $F=ma$ means that as the mass increases (doubles), the acceleration will decrease (halve) if the force is constant.
(Slide 55) ✎ STUDENT NOTES: Write Newton’s second law of motion, “$\text{Force} = \text{mass}\times\text{acceleration}$”, and provide an explanation and example in your own words.
Pose the question from the beginning of the lesson: Does the number of people in a car affect its acceleration?
Discuss how more people in a car increases its mass and that this affects positive and negative acceleration. A car engine will need to provide a greater force to accelerate in the same way.
(Slide 56) Discuss how more people in the car will make it harder for the car to come to a stop (negative acceleration). A car will have a greater stopping distance.
- How fast does a car full of people accelerate compared to a car with no passengers?
- Does this mean the car engine needs more or less force to accelerate at the same rate?
- What about slowing down? Does a car full of people need more or less force to slow down compared to a car with no passengers?
- Can you brake with more force if you have a car full of passengers?
- In an emergency, most drivers will ‘slam on the brakes’ as hard as they can, regardless of the number of passengers. Although the greater mass of many passengers does increase the friction, this does not affect the available friction between the brake pads and the wheels.
- How will the stopping distance change if you have a car full of passengers?
(Slide 57) ✎ STUDENT NOTES: Use argumentation and the evidence from the activities to make a claim of how autonomous cars may need to change their driving programs when there are many passengers.
Reflect on the lesson
You might invite students to:
- consider how a driver might change the amount of space between the car in front and their car when they have many passengers.
- research how sensors could be used to determine the number of passengers in a car.
- re-examine the intended learning goals for the lesson and consider how they were achieved.